中国Alibabaは2月16日(日本時間)、新たなAIモデル「Qwen3.5-397B-A17B」を発表しました。
オープンなAIモデルで、テキストに加えて画像や動画にも対応します。一部のタスクでは、米OpenAIのAIモデル「GPT-5.2」や、米Googleの「Gemini 3 Pro」よりも高い性能を示したとしています。
ページコンテンツ
要約。どんな人に向いたサービスか?
「Qwen 3.5-Plus」は、中国のアリババグループが開発し、無償で公開(オープンソース化)した大規模言語モデルです。他社の最新AIモデルと同等の性能を持ちながら、システムに組み込む際のAPI利用価格が大幅に抑えられています。
自社サービスに高性能なAIを低コストで組み込みたい開発者や、コストを抑えつつAIエージェント機能を活用したい企業に向いています。
概要
-
発表した会社:阿里巴巴集団(アリババグループ / Alibaba Cloud)
-
サービス名:Qwen 3.5-Plus(通義千問 3.5-Plus)
-
公表日時:2026年2月16日
-
サービス開始日時:2026年2月16日(同日にオープンソースとして公開・API提供開始)
Qwen 3.5-Plusとは
「Qwen 3.5-Plus」は、中国のアリババグループが開発し、無償で公開(オープンソース化)した大規模言語モデルです。他社の最新AIモデルと同等の性能を持ちながら、システムに組み込む際のAPI利用価格が大幅に抑えられています。 自社サービスに高性能なAIを低コストで組み込みたい開発者や、コストを抑えつつAIエージェント機能を活用したい企業に向いています。
【発表した会社、サービス名、公表日時、サービス開始日時】
-
発表した会社:阿里巴巴集団(アリババグループ / Alibaba Cloud)
-
サービス名:Qwen 3.5-Plus(通義千問 3.5-Plus)
-
公表日時:2026年2月16日
-
サービス開始日時:2026年2月16日(同日にオープンソースとして公開・API提供開始)
Qwen 3.5-Plus特徴
Qwen 3.5-Plusは、基盤アーキテクチャを刷新して開発された次世代の大規模言語モデルです。主な特徴は以下の通りです。
-
オープンソースでの提供:モデルの構造や重みデータが公開されており、開発者が自由に利用・改変できます。
-
リソース消費の削減:デプロイ(運用環境への配備)時に必要なGPUメモリ使用量を約60%削減しています。
-
処理速度の向上:最大推論スループット(単位時間あたりの処理量)が最大19倍に向上しています。
Qwen 3.5-Plusのメリット
-
運用コストの低減:API利用価格が100万トークン当たり0.8元に設定されており、競合モデルと比較してランニングコストを低く抑えられます。
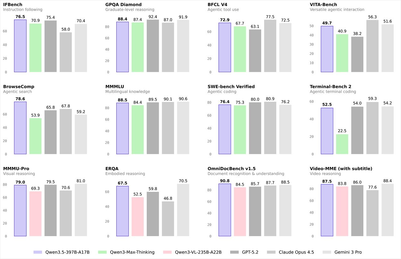
-
高いエージェント性能:外部ツールを操作する能力を測る指標(BFCL V4)において72.9点を記録し、複雑なタスクの自動化に適しています。
-
環境構築の柔軟性:オープンソースであるため、自社のオンプレミス環境や独自のクラウド環境に直接構築することが可能です。
サービスのデメリット
-
技術的なハードルの存在:モデルを自社環境で動かす場合、サーバーの構築やGPUの最適化など、専門的なエンジニアリング知識が必要になります。
-
サポート体制の制約:商用のプロプライエタリ(非公開)モデルを提供する企業の手厚いカスタマーサポートと比較すると、オープンソース特有の自己解決が求められる場面があります。
制作国による情報の偏りについて
Qwen 3.5-Plusは、DeepSeekなどの他の中国製AIと同様に、開発国の法規制や安全基準(アライメント)の影響を受けます。
他社との比較
Qwen 3.5-Plusは、Googleの「Gemini 3 Pro」やOpenAIの「GPT-5.2」と同等水準の性能としてベンチマーク結果が公表されています。特にAPIの利用価格において差異が見られます。
| 比較項目 | Qwen 3.5-Plus | Gemini 3 Pro (Google) | GPT-5.2 (OpenAI) |
| 提供形態 | オープンソース / API | クローズドソース / API | クローズドソース / API |
| API価格(目安) | 0.8元 / 100万トークン | Qwenの約18倍 | (非公開 / 高価格帯) |
|
ツール利用評価 (BFCL V4 スコア) |
72.9点 | Qwenを下回るスコア | Qwenを下回るスコア |
| 運用環境 | 自社構築可能 / クラウド | クラウド依存 | クラウド依存 |
※スコアおよび価格比率は2026年2月のアリババ発表データに基づくものです。
【まとめ】
アリババの「Qwen 3.5-Plus」は、オープンソースでありながら最新のクローズドモデルに匹敵する性能を持つAIモデルです。メモリ使用量の削減やスループットの向上といった技術的な改善が施されており、特にAPI価格の安さが特徴です。自社環境での運用や、コストを意識したAI開発を行う際の選択肢の一つとなります。
タカシ
最新記事 by タカシ (全て見る)
- 【新製品】充電しながらの操作が快適に!サンワサプライの「全方向回転」USB-Cケーブルが登場 - 2026年3月16日





コメント